судан 4 ч

Производитель: ---
Артикул: 4832
Наличие: Есть в наличии
Отзывов написано: 0 Написать

0

13 826.66 руб.
Без НДС: 11 333.33 руб.
В закладки
Сравнить

Количество:
- +

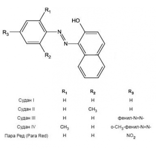
Судан — группа нейтральных жирорастворимых красителей.

Существует несколько типов с разными заместителями: Судан I, Судан II, Судан III, Судан IV, Sudan Para Red (Пара Ред), Судан Чёрный и другие. В сферах экономики используются при производстве дизельного топлива, в легкой промышленности для окрашивания тканей, а также при проведении биохимических исследований для окрашивания препаратов, и относятся к непищевым красителям. Часто используются при фальсификации специй и пряностей, а также продуктов их переработки, БАД к пище, изготовленных с использованием специй и пряностей, и других пищевых продуктов, в состав которых входят специи и пряности, с целью придания им более интенсивной окраски. В химии и медицине используется для качественного определения жиров и покраске гистологических проб.

·         Судан I — краситель жёлтого цвета — C16H12N2O

·         Судан II — краситель оранжевого цвета — C18H16N2O

·         Судан III — краситель оранжево-красного цвета — C22H16N4O

·         Судан IV — краситель тёмно-красного цвета — C24H20N4O

·         Sudan Red 5B (Oil Red O) — краситель красного цвета — C26H24N4O

·         Sudan Red G — краситель красного цвета — C17H14N2O2

·         Para Red — краситель красного цвета — C16H11N3O3

·         Sudan Black B — краситель чёрного цвета — C29H24N6

 

Написать Ваше Имя:


Ваш отзыв: Внимание: HTML не поддерживается! Используйте обычный текст.

Оценка:

Плохо  1   2   3   4   5   Хорошо

Введите код, указанный на картинке:
  

Вы смотрели
Сообщить, когда появится

ФИО:

ИНН компании:

Телефон:

e-mail:

Пожалуйста, укажите ваше имя и телефон, чтобы мы могли связаться с вами

Новости

Описан механизм осязания у бактерий

30.10.2017

Учёные из Германии, Швейцарии и Нидерландов провели исследование по осязанию бактерий, показавшее, как именно бактерии реагируют на встречающиеся на пути преграды. © Kateryna Kon / Фотодом / Shutterstock Несмотря на свою довольно простую одноклеточную структуру, бактерии показали, что мог ...

Читать далее...

Белок возрастом 54 миллиона лет доказал устойчивость подобных молекул

25.10.2017

Исследователи из США, Швеции и Японии выделили пигментный и мышечный белки из останков детенышей морских черепах, живших 54 миллиона лет назад. Работа ученых подтверждает высокую устойчивость белковых молекул. Морская черепаха Tasbacka © Rene Sylvestersen / commons. Wikimedia .org ...

Читать далее...

Ученые нашли, где скрывается ВИЧ

24.10.2017

Ученые из Австралии, Швеции, Канады и США установили, что вирусные частицы ВИЧ в организме больных тихо «сидят» в неактивном состоянии в иммунных клетках определенного вида. © Kateryna Kon / Фотодом / Shutterstock Вирус иммунодефицита человека относится к ретровирусам и остается ...

Читать далее...

СоюзхимпромSHP